Rovatok 2015-től
Rovatok
- Bemutatkozás »
- Fejlesztés beruházás »
- Informatika »
- Korszerűsítés »
- Környezetvédelem »
- Közlekedésbiztonság »
- Közlekedéstörténet »
- Kutatás »
- Megemlékezés »
- Méréstechnika »
- Mérnöki ismeretek »
- Minőségbiztosítás »
- Szabályzatok »
- Technológia »
- Egyéb »
Szerzői segédlet
A Sínek Világa folyóirat szerzőinek összeállított szempontok és segédlet.
Tovább »Rugalmas ágyazású kiöntött csatornás vasúti felépítmény (3. rész) – Módszer a hosszirányú viselkedés vizsgálatára

A hosszirányú viselkedés mérnöki szemléletű megközelítése
Az előző pontban ismertettem a kiöntött síncsatornában a sín dilatációs viselkedésének analitikus megközelítését, melynek eredménye az alábbi összefüggés:

A bonyolult képlet alkalmazása helyett az egyes sínrendszerekhez definiáltam egy c rendszertényezőt, melynek segítségével az alábbi formába írtam át az összefüggést:
A c rendszertényezőben összevontam a sín állandónak tekinthető anyagjellemzőit (α, E), valamint sínrendszerenként a keresztmetszeti területet (A). Az ebben az alakban történt felírásban az összefüggés egyszerűbb, valamint a számítási igény is lényegesen kisebb. A bevezetett összefüggés áttekinthetővé és átváltási nehézségektől mentessé teszi a sínvégmozgás számítását.A tényezők meghatározásához az általam írt programot használtam. A járatos sínrendszerekhez tartozó c rendszertényezőkre mutat példát az 5. táblázat. A módszer megalkotása során 12 sínrendszert, a Vignol sínek mellett a közúti vasúti pályaszerkezetben alkalmazott vályús síneket is vizsgáltam, azonban terjedelmi okok miatt az összes kalkulált értéket nem közlöm. A számítás során a sínanyag rugalmassági modulusa E = 206 000 N/mm2, a lineáris hő tágulási együttható pedig α = 1,2*10–5 1/°C volt.
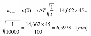
Elvégezve a korábban bemutatott validációs feladatot, az alábbi eredményt kaptam:

az eredmény egybevág a korábban kapott eredményemmel.
Annak érdekében, hogy a sín teljes mozgó hosszának értéke (z) is meghatározható legyen sínrendszerenként a hosszirányú rugóállandó függvényében, 45 °C hőmérséklet-változás figyelembevételével meghatároztam a változást leíró hatványfüggvényeket az alábbi alakban: z(k) = akb [m].
A felírt általános összefüggést az általam írt Excel program eredményeinek vizsgálatával kaptam. Az egyes sínrendszerenként változó rugóállandó mellett meghatározott lélegző hossz értékekre hatványfüggvényt illesztettem, melyek a és b paramétereit a 6. táblázat foglalja össze. Az 54E1 r. sín esetén kialakuló zavart hossz értékek a hosszirányú rugóállandó kapcsolatát a 6. ábra szemlélteti.
Irodalomjegyzék
- [1] MSZ EN 1991-2:2006 A tartószerkezeteket érő hatások. Hidak forgalmi terhei.
- [2] Kormos Gy.: Longitudinal behaviour of rail embedded in elastic material. Periodica Polytechnica, 2001.
- [3] Coenraad Esveld: Modern Railway Track. Second Edition, MRT-Productions, 2001, Zaltbommel, p. 186.
- [4] Dr. Horvát Ferenc, Dr. Németh György: Hazai megfelelőségi igazolás – 35GPB (35LPG) r. sínekkel kialakított Edilon típusú kiöntött síncsatornás közúti vasúti vágány kísérleti szakaszának építésére. 2004, Győr.
Ha szeretne rendszeresen hozzájutni a legfrisebb számokhoz, fizessen elő a folyóiratra.