Rovatok 2015-től
Rovatok
- Bemutatkozás »
- Fejlesztés beruházás »
- Informatika »
- Korszerűsítés »
- Környezetvédelem »
- Közlekedésbiztonság »
- Közlekedéstörténet »
- Kutatás »
- Megemlékezés »
- Méréstechnika »
- Mérnöki ismeretek »
- Minőségbiztosítás »
- Szabályzatok »
- Technológia »
- Egyéb »
Szerzői segédlet
A Sínek Világa folyóirat szerzőinek összeállított szempontok és segédlet.
Tovább »Rugalmas ágyazású kiöntött csatornás vasúti felépítmény (4. rész) – Függőleges síkú stabilitás vizsgálata
Az összefüggésben szereplő Δa hosszváltozást az ívhossz szerinti integrál Taylor-sorának első tagjával vettem számításba:![]()
A kezdeti görbeséget leíró függvényt az alábbi képlet alapján vettem figyelembe:
ahol:
fo: a kezdeti hibaamplitúdó [m].
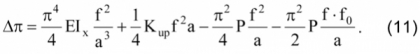
Elvégezve a (6)-ben kijelölt műveleteket, a π rugalmas potenciál az alábbi alakban áll elő:
Az egyenletben két szabad paraméter van, az a kihajlási félhullámhossz és az f húrmagasság. A korábban tett feltételek alapján az egyensúly feltétele, hogy:
és![]()
Az f szerint a parciális deriválás a következő lépések szerint végezhető el:
Az f szerint a parciális deriválás eredményeképpen P értékére az alábbi összefüggés kapható:
Az a szerint a parciális deriválás a következő lépések szerint végezhető el:
Az a szerint a parciális deriválás eredményeképpen P értékére az alábbi összefüggés kapható:
A P értékére kapott két egyenlet alapján készítettem egy Excel-programot, ennek segítségével meghatározható a kritikus nyomóerő értéke a kezdeti görbület, valamint a rugalmas ellenállás figyelembevételével.
A javasolt vizsgálati eljárás egyszerűsítése
Megvizsgálva a pontos összefüggés alapján nyert eredményeket, arra a megállapításra jutottam, hogy a kialakuló kihajlási félhullámhosszra semmiféle hatása nincsen a kezdeti hibaamplitúdónak, tehát a korábban bemutatott (2) képlet használata korrekt eredményeket szolgáltat:
Az egyszerűbb számíthatóság érdekében bevezettem egy rendszertényezős átírást. 
A cb stabilitási rendszertényező bevezetésével összevonható az állandónak tekinthető anyagjellemző (E), valamint sínrendszerenként az inercia (Ix) és a számításban szereplő konstans π.
A függvénykapcsolatot a 3. ábra szemlélteti.

Irodalomjegyzék
- [1] Coenraad Esveld: Modern Railway Track. Second Edition, MRT-Productions, 2001, Zaltbommel.
- [2] M. A. Van: Stability of continuous welded rail track, Delft, 1997.
- [3] Dr. Horváth, dr. Kerkápoly, dr. Megyeri: Különleges vasutak. Műszaki Könyvkiadó, Budapest, 1978, 96–124. o.
- [4] Dr. Horváth Attila, dr. Kerkápoly Endre: Földalatti vasutak pályaszerkezetei. Műszaki Könyvkiadó, Budapest, 1974, 177–178. o.
- [5] Stefan Lehner: Kontinuierlich eingegossene Schiene. Temperaturverteilung-Verbundwirkung_Brücken, 2006, München.
Ha szeretne rendszeresen hozzájutni a legfrisebb számokhoz, fizessen elő a folyóiratra.