Rovatok 2015-től
Rovatok
- Bemutatkozás »
- Fejlesztés beruházás »
- Informatika »
- Korszerűsítés »
- Környezetvédelem »
- Közlekedésbiztonság »
- Közlekedéstörténet »
- Kutatás »
- Megemlékezés »
- Méréstechnika »
- Mérnöki ismeretek »
- Minőségbiztosítás »
- Szabályzatok »
- Technológia »
- Egyéb »
Szerzői segédlet
A Sínek Világa folyóirat szerzőinek összeállított szempontok és segédlet.
Tovább »Nagy sebességre alkalmas előfeszített vasbeton keresztalj (2. rész) – A repesztő- és a törőnyomaték meghatározása
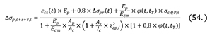
A geometriai mennyiségeket korábban ismertettem, kivéve zcp,i értékét, amely az 53. képlet alapján vehető számításba.
Az anyagjellemzők közül Ep és Ecm értéke bemutatásra került ugyanúgy, ahogy a kúszási tényező értékének meghatározása is, amelynél a hőérlelés hatását is célszerűen figyelembe lehet venni az 54. képletnek megfelelően, a korábban bemutatott elvek alapján.
Δσpr értéke a 44. képlet alapján határozható meg a 48. képlet alapján számított σp,m,0 érték segítségével.
Az 54. képletben ezt követően már csak két ismeretlen mennyiség található:
• a t időpillanatban érvényes zsugorodás (εcs(t)),
• a feszítőacélok magasságában értelmezett betonfeszültség a kváziállandó terhek hatására (σc,QP).
A zsugorodás két, időben lejátszódó folyamat összegeként vehető számításba. Az autogén zsugorodás a szilárdulási folyamat során, míg a másik száradási zsugorodás a szilárduláshoz nem szükséges víz távozása során. A számítást az 55. képlet szemlélteti.
ahol:
εcs(t): a zsugorodás mértéke (abszolút értékkel) a t időpontban [‰],
εca(t): az autogén zsugorodás mértéke (abszolút értékkel) a t időpontban [‰],
εcd(t): a száradási zsugorodás mértéke (abszolút értékkel) a t időpontban [‰].
Az autogén zsugorodás számításakor először annak végértékét kell meghatározni az 56. képletnek megfelelően.
ahol:
εca,∞: az autogén zsugorodás végértéke [‰],
fck: a beton nyomószilárdságának karakterisztikus értéke [N/mm2].
A nyomószilárdság karakterisztikus és várható értéke között az 57. képlet szerinti összefüggés áll fenn, így az 56. képlet átalakítható az 58. képlet szerintire. Az ebben található fcm értékeket a 2. táblázatban foglaltam össze.
A száradási zsugorodás kezdeti értéke az 59. képlet alapján határozható meg.
A képletben szereplő fcm0 értékre 10 N/mm2 érték veendő számításba, míg az αds1 és αds2 tényezők értékeit a 6. táblázat foglalja össze.

Az 59. képletben szereplő βRH tényező a 60. képlet alapján vehető számításba. A relatív páratartalom értékére vonatkozó ajánlások a kúszási tényezőnél lévőkkel megegyezők.
A vég- és alapérték ismeretében a t időpontban értelmezett zsugorodás a 61. képletnek megfelelően számítható.
A 61. képletben kh az elméleti vastagságtól függő tényező, amely a 7. táblázat értékei közötti lineáris interpolációval határozható meg. Az elméleti vastagság a 29. képlet szerint számítható.

A 61. képletben található βds(t) tényező a 62. képlet alapján számítható, míg a βas(t) a 63. képlet szerint.
ahol:
t: a vizsgált időpillanat [nap],
ts: a beton kora az utókezelés végén [nap],
h0: az elméleti vastagság [mm].
Mivel az utasítás [2] nem rendelkezik másképp, így a zsugorodás számításánál a hőérleléssel módosított betonkor helyett a beton valós korával kell dolgozni.
Irodalomjegyzék
- [1] Dr. Klatsmányi Tibor. Vasbetonszerkezetek – Feszített vasbetonszerkezetek. Budapest: Tankönyvkiadó; 1988.
- [2] H.1. Vasúti Hídszabályzat, H.1.4. utasítás – Vasúti vasbeton, feszített vasbeton és betonhidak tervezése. Budapest: MÁV Zrt.; 2019.
- [3] UIC 713: Design of monoblock concrete sleepers. UIC, 2004.
- [4] Dr. Major Zoltán. Nagy sebességre alkalmas előfeszített vasbeton keresztalj (1. rész) – Igénybevételek számítása. Sínek Világa 2021;LXIII(6):2-12.
Ha szeretne rendszeresen hozzájutni a legfrisebb számokhoz, fizessen elő a folyóiratra.